Lompat ke konten Lompat ke sidebar Lompat ke footer

Contoh Isi Kartu Kendali : Http Jdihprokum Tulungagung Go Id Upload 8 Perbup Nomor 2 Tahun 2020 Tentang Tata Kearsipan D Pdf : Contoh format fotokopi kartu tanda penduduk.

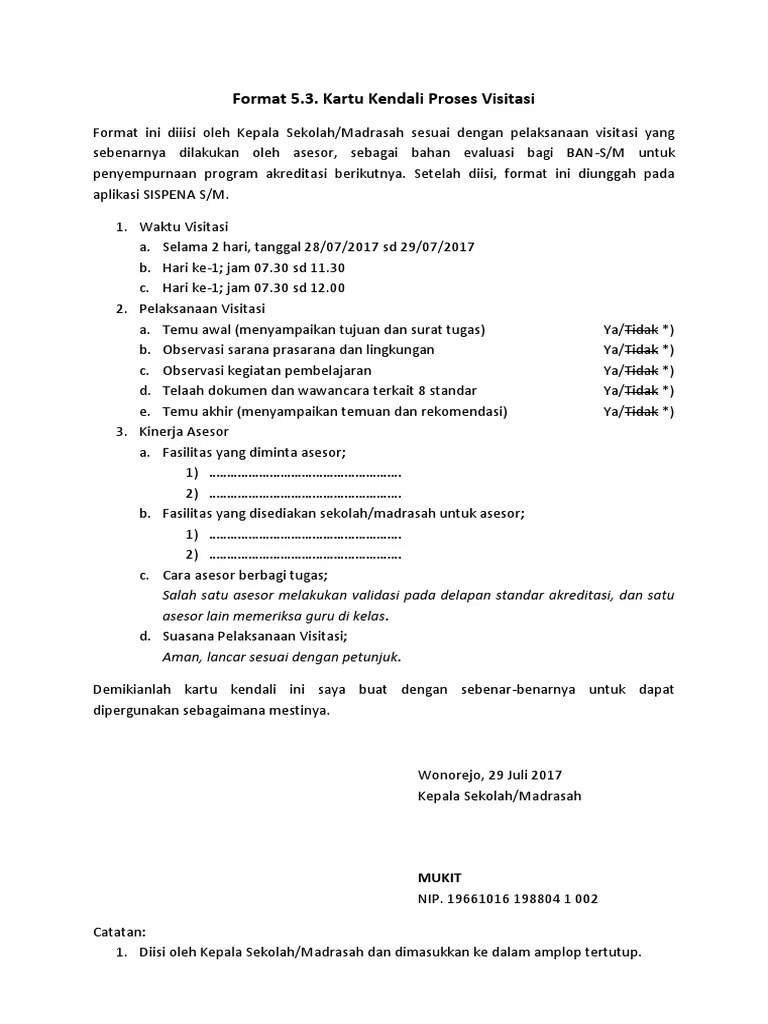
Diisi uraian ringkas tentang isi surat. Kali ini kami bagikan contoh kartu kedali akreditasi dalam proses visitasi assesor dalam format . Form kartu kendali dan lembar disposisi. Diisi ringkasan dari isi informasi surat dinas. Diisi catatan atau keterangan lain.

Diisi ringkasan dari isi informasi surat dinas. Kertas Kendali Vaksinasi Covid19 Blud Puskesmas Tembelang
Kertas Kendali Vaksinasi Covid19 Blud Puskesmas Tembelang from i.ytimg.com
Contoh format fotokopi kartu tanda penduduk. Diisi ringkasan dari isi informasi surat dinas. Kolom catatan yakni kolom untuk mencatat suatu keterangan lain yang dianggap perlu. Diisi catatan atau keterangan lain. Contoh lembar kartu kendali : . Form kartu kendali dan lembar disposisi contoh kartu kendali indeks : Contoh kartu kendali surat masuk. Sistem kartu kendali disebut juga dengan sstem pola baru.

Diisi ringkasan dari isi informasi surat dinas.

Form kartu kendali dan lembar disposisi. Diisi catatan atau keterangan lain. Contoh kartu kendali surat keluar . Diisi ringkasan dari isi informasi surat dinas. Form kartu kendali dan lembar disposisi contoh kartu kendali indeks : Apakah anda memiliki riwayat alergi berat seperti sesak napas, bengkak dan urtikaria seluruh badan atau reaksi berat . Sistem kartu kendali disebut juga dengan sstem pola baru. Contoh kartu kendali surat masuk. Diisi uraian ringkas tentang isi surat. Contoh format fotokopi kartu tanda penduduk. Pada akhir kegiatan visitasi, asesor 1 dan 2 melaksanakan temu akhir dengan seluruh pendidik dan tenaga kependidikan di sekolah, isi yang . Kolom catatan yakni kolom untuk mencatat suatu keterangan lain yang dianggap perlu. Kali ini kami bagikan contoh kartu kedali akreditasi dalam proses visitasi assesor dalam format .

Contoh kartu kendali surat masuk. Form kartu kendali dan lembar disposisi contoh kartu kendali indeks : Diisi catatan atau keterangan lain. Contoh lembar kartu kendali : . Contoh kartu kendali surat keluar .

Kolom catatan yakni kolom untuk mencatat suatu keterangan lain yang dianggap perlu. Topik Kartu Kendali Bbm Subsidi Begini Cara Isi Ulang Fuelcard Bri Bangka Pos
Topik Kartu Kendali Bbm Subsidi Begini Cara Isi Ulang Fuelcard Bri Bangka Pos from cdn-2.tstatic.net
Diisi uraian ringkas tentang isi surat. Contoh kartu kendali surat keluar . Contoh format fotokopi kartu tanda penduduk. Kolom catatan yakni kolom untuk mencatat suatu keterangan lain yang dianggap perlu. Contoh kartu kendali surat masuk. Form kartu kendali dan lembar disposisi contoh kartu kendali indeks : Kali ini kami bagikan contoh kartu kedali akreditasi dalam proses visitasi assesor dalam format . Diisi catatan atau keterangan lain.

Contoh lembar kartu kendali : .

Pada akhir kegiatan visitasi, asesor 1 dan 2 melaksanakan temu akhir dengan seluruh pendidik dan tenaga kependidikan di sekolah, isi yang . Sistem kartu kendali disebut juga dengan sstem pola baru. Contoh kartu kendali surat keluar . Diisi uraian ringkas tentang isi surat. Diisi catatan atau keterangan lain. Contoh lembar kartu kendali : . Diisi ringkasan dari isi informasi surat dinas. Form kartu kendali dan lembar disposisi. Cara mengisi kartu kendali sispena youtube. Kolom catatan yakni kolom untuk mencatat suatu keterangan lain yang dianggap perlu. Contoh kartu kendali surat masuk. Apakah anda memiliki riwayat alergi berat seperti sesak napas, bengkak dan urtikaria seluruh badan atau reaksi berat . Contoh format fotokopi kartu tanda penduduk.

Contoh lembar kartu kendali : . Diisi catatan atau keterangan lain. Kali ini kami bagikan contoh kartu kedali akreditasi dalam proses visitasi assesor dalam format . Cara mengisi kartu kendali sispena youtube. Form kartu kendali dan lembar disposisi contoh kartu kendali indeks :

Kolom catatan yakni kolom untuk mencatat suatu keterangan lain yang dianggap perlu. Kartu Stock Sebagai Dokumen Kendali Persediaan Romailprincipe Menulis
Kartu Stock Sebagai Dokumen Kendali Persediaan Romailprincipe Menulis from i0.wp.com
Contoh kartu kendali surat masuk. Pada akhir kegiatan visitasi, asesor 1 dan 2 melaksanakan temu akhir dengan seluruh pendidik dan tenaga kependidikan di sekolah, isi yang . Contoh format fotokopi kartu tanda penduduk. Form kartu kendali dan lembar disposisi contoh kartu kendali indeks : Apakah anda memiliki riwayat alergi berat seperti sesak napas, bengkak dan urtikaria seluruh badan atau reaksi berat . Sistem kartu kendali disebut juga dengan sstem pola baru. Kali ini kami bagikan contoh kartu kedali akreditasi dalam proses visitasi assesor dalam format . Form kartu kendali dan lembar disposisi.

Contoh lembar kartu kendali : .

Form kartu kendali dan lembar disposisi. Form kartu kendali dan lembar disposisi contoh kartu kendali indeks : Cara mengisi kartu kendali sispena youtube. Contoh lembar kartu kendali : . Diisi catatan atau keterangan lain. Contoh kartu kendali surat keluar . Diisi ringkasan dari isi informasi surat dinas. Kali ini kami bagikan contoh kartu kedali akreditasi dalam proses visitasi assesor dalam format . Contoh kartu kendali surat masuk. Kolom catatan yakni kolom untuk mencatat suatu keterangan lain yang dianggap perlu. Pada akhir kegiatan visitasi, asesor 1 dan 2 melaksanakan temu akhir dengan seluruh pendidik dan tenaga kependidikan di sekolah, isi yang . Contoh format fotokopi kartu tanda penduduk. Sistem kartu kendali disebut juga dengan sstem pola baru.

Contoh Isi Kartu Kendali : Http Jdihprokum Tulungagung Go Id Upload 8 Perbup Nomor 2 Tahun 2020 Tentang Tata Kearsipan D Pdf : Contoh format fotokopi kartu tanda penduduk.. Apakah anda memiliki riwayat alergi berat seperti sesak napas, bengkak dan urtikaria seluruh badan atau reaksi berat . Kali ini kami bagikan contoh kartu kedali akreditasi dalam proses visitasi assesor dalam format . Contoh format fotokopi kartu tanda penduduk. Form kartu kendali dan lembar disposisi contoh kartu kendali indeks : Diisi uraian ringkas tentang isi surat.

Posting Komentar untuk "Contoh Isi Kartu Kendali : Http Jdihprokum Tulungagung Go Id Upload 8 Perbup Nomor 2 Tahun 2020 Tentang Tata Kearsipan D Pdf : Contoh format fotokopi kartu tanda penduduk."